한화, 가장 늦게 연봉협상 마무리
예비 FA 안영명, 팀 내 최고 인상
한화가 2016시즌 연봉 협상을 완료했다. 투수 안영명이 비FA 선수로는 팀 내 최고 대우를 받았다.

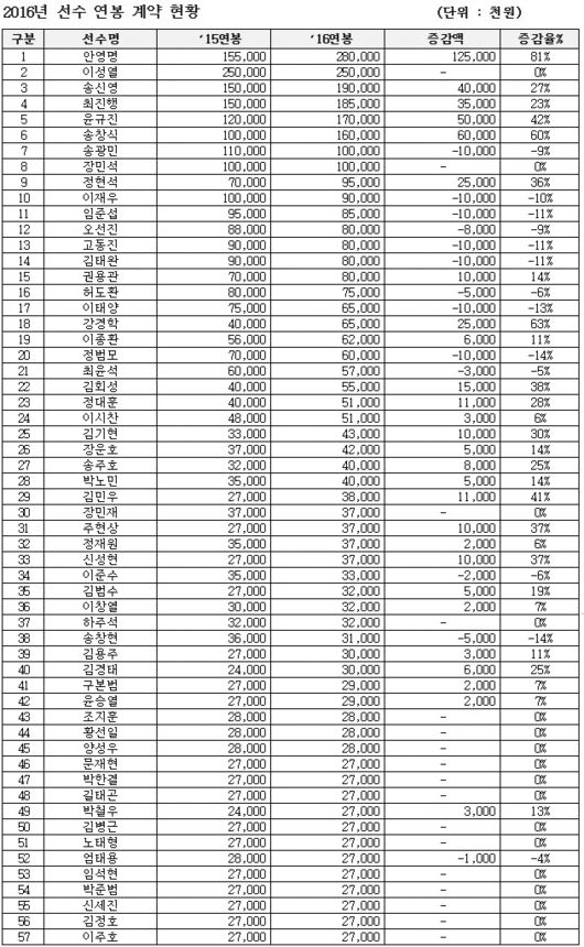
한화는 31일 2016시즌 재계약 대상자 57명과 연봉 협상을 마쳤다고 밝혔다. 그 중에서 투수 조장을 맡고 있는 안영명이 가장 큰 폭으로 상승했다. 지난해 1억5500만원을 받은 안영명은 올 시즌 연봉으로 81%가 인상된 2억8000만원에 도장을 찍었다.
안영명은 지난해 35경기에서 10승6패1홀드 평균자책점 5.10을 기록, 한화 국내 투수로는 4년 만에 두 자릿수 승리를 올렸다. 이 같은 활약상을 인정받아 데뷔 후 처음으로 연봉 2억원대를 돌파했다. 올 시즌을 마치면 첫 FA 자격을 얻는 그에게 프리미엄도 붙었다.
구원투수 윤규진도 1억2000만원에서 42% 오른 1억7000만원에 도장을 찍었다. 지난해 부상으로 거의 3개월을 쉬는 와중에도 40경기에서 3승2패10세이브 평균자책점 2.66을 기록, 불펜에서 인상적인 활약을 펼친 것에 보상을 받았다.
선발과 구원을 가리지 않고 나온 '마당쇠' 송창식도 1억원에서 1억6000만원으로 연봉이 60% 상승했다. 송창식은 지난해 64경기에서 109이닝을 소화하며 8승7패11홀드 평균자책점 6.44를 기록했다. 평균자책점은 높지만 팀을 위한 헌신과 공헌도를 인정받았다.
넥센에서 이적해온 베테랑 투수 송신영도 1억5000만원에서 1억9000만원으로 인상됐다. 유격수로 활약한 강경학은 지난해 4000만원에서 63% 인상된 6500만원에 계약하며 팀 내 야수 중에서 최고 인상률을 기록했다. 최진행도 1억5000만원에서 1억8500만원, 정현석이 7000만원에서 9500만원으로 연봉이 인상됐다.

이번 재계약 대상자 57명 중 인상된 선수는 27명, 동결 17명, 삭감 13명이다. 한화를 끝으로 KBO 10개 구단 모두 연봉 협상을 마무리했다. /waw@osen.co.kr